Question 16
Match the compounds in List-I with the appropriate observations in List-II and choose the correct option.
List - I




List-II
Reaction with phenyl diazonium salt gives yellow dye.
Reaction with ninhydrin gives purple color and it also reacts with to give violet color.
Reaction with glucose will give corresponding hydrazone.
Lassaigne extract of the compound treated with dilute followed by addition of aqueous gives blood red color.
After complete hydrolysis, it will give ninhydrin test and it DOES NOT give positive phthalein dye test.
Correct Match:
Detailed Solution
P matches with (2): The compound contains a free group (alpha to carbonyl) which gives a purple color with ninhydrin, and a phenolic group which gives a violet color with neutral .
Q matches with (5): Complete hydrolysis of the acetylated peptide releases free amino acids that give a positive ninhydrin test. However, it lacks a phenolic group, so it does not give a positive phthalein dye test.
R matches with (1): Anilinium chloride () in equilibrium with aniline reacts with phenyl diazonium salts to undergo coupling reactions, typically forming yellow/orange dyes (e.g., p-aminoazobenzene).
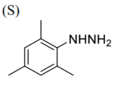
S matches with (3): The compound is a substituted hydrazine (2,4,6-trimethylphenylhydrazine). Hydrazines react with the carbonyl group of glucose to form hydrazones (and subsequently osazones).
Correct Option: B
Boost Your Exam Preparation!
Move beyond just reading solutions. Access our comprehensive Test Series, original Mock Tests, and interactive learning modules. Many premium tests are completely free!
- Original Mocks & Regular Test Series
- Real NTA-like Interface with Analytics
- Many Free Tests Available